FRB(連邦準備制度理事会)がついに50bps政策金利を引き下げました。ここではテレビのニュースでは触れられないような深いところまで掘り下げてみたいと思います。※最初の説明が長くなってしまったので適宜目次で興味のある所からご覧ください。
🌐FRBの金利変更が世の中に与える影響
まずおさらいとして、FRBが金利を変更するとその影響は米国内の金融市場だけでなく、国際的な経済活動にも広範囲に及びます。特に、ユーロダラー市場やドルペッグ制を採用している国々に対しても大きな影響を与えます。風が吹けば桶屋が儲かるどころか、風で桶を吹き飛ばして儲けさせるくらい直接的です。
1. 企業の借り入れと投資活動
企業は事業拡大や新しいプロジェクトの資金調達のために銀行から借り入れを行います。FRBの金利が低下すると、企業の借り入れコストも減少します。これにより、新規投資や拡大計画が促進され、雇用創出や経済成長が加速する可能性があります。
結果として、住宅市場の需要が増加し、不動産価格が上昇する可能性があります。住宅販売が活発になると、不動産開発業者や建設業界も恩恵を受けるため、不動産市場全体の活性化が期待できます。
2. 住宅ローンと不動産業界
金利が下がると、住宅ローンの金利も低下します。これにより、家を購入しようとする人々にとって借り入れのコストが減少し、住宅の購入が促進されます。
3.自動車ローンと自動車産業
FRBの金利が低下すると、自動車ローンの金利も下がります。これにより、車を購入するためのローンのコストが減少し、消費者が車を購入しやすくなります。結果として、自動車メーカーやディーラーの売り上げが増加し、自動車産業全体の活性化が期待されます。
4. クレジットカードの金利
FRBの利下げは、クレジットカードの金利にも直接影響します。金利が下がると、クレジットカードでの借り入れにかかる利息も減少するため、消費者がカードでの支出を増やす傾向が強まります。これにより、小売業やサービス業における消費が増加し、経済活動の活性化につながります。
5. 為替レートと国際貿易
FRBの金利が低下すると、米ドルの価値が下がる傾向があります。これにより、アメリカ製品の価格が他国にとって安くなり、輸出が増加する可能性があります。
逆に、輸入品は相対的に高くなるため、輸入が減少します。このように為替レートの変動は、国際貿易全体に影響を与え、グローバルな経済環境にも波及します。
6. ユーロダラー市場への影響
ユーロダラーとは、アメリカ国外にある銀行で運用される米ドル建ての預金を指します。通貨のユーロとは関係なく、日本やアフリカにあるドルもユーロダラーと呼ばれます。ちなみにユーロ圏外で流通しているユーロはユーロユーロと呼ばれますw
FRBの金利が低下すると、ユーロダラー市場の金利も連動して低下する傾向にあります。これにより、国際的な資金調達コストが減少し、各国の銀行や企業が借り入れを行う際の金利も下がります。特に、新興国や発展途上国は米ドルでの借り入れが多いため、返済負担が軽減され、経済成長の機会が増える可能性があります。
7. ドルペッグ制の国への影響
香港やサウジアラビア、UAEなど一部の国や地域は、自国通貨の価値を米ドルに固定するドルペッグ制を採用しています。FRBの金利が低下すると、これらの国々も同様に金利を引き下げる必要性に迫られます。
金利を下げることで、経済活動を刺激し、国内の景気回復を図ることができます。ドルペッグ制の国々にとって、FRBの利下げは金融政策の自由度を高め経済の安定に寄与する一方で、国内または地域内の経済環境がアメリカと異なる場合にもアメリカの金融政策に左右されることになるためデメリットにもなります。
8. 株式市場
金利の低下は、企業の収益性にプラスの影響を与えるため、株式市場にも影響を及ぼします。低い金利は企業の借り入れコストを減少させ、利益を増加させます。その結果、投資家はリスクの高い株式に対する投資意欲が増し、株式市場の価格が上昇する傾向があります。
9. 債券市場
金利が低下すると、新発債の利回りが低くなるため、既存の高金利債券の価値が上がります。債券価格の上昇は、債券投資家にとって利益を意味し、特に長期債券に投資している場合、その恩恵が大きくなります。
10. 貯蓄と個人消費
金利の低下は、銀行の預金金利を引き下げるため、貯蓄のインセンティブが減少します。消費者は貯蓄よりも消費に回す傾向が強まり、個人消費が増加する可能性があります。個人消費は経済の重要な部分を占めているため、その増加は経済全体にプラスの影響を与えます。
11. 不動産投資信託(REITs)
REITsは不動産からの収益を分配する投資信託で、利回りが重要な投資商品です。FRBの金利が下がると、REITsの借り入れコストが減少し、収益性が向上する可能性があります。また、投資家は低金利環境で高い利回りを求めるため、REITsへの投資が増加し、REITsの価格が上昇するリスクが高まります。
12. コモディティ市場
金利の低下は、コモディティ(商品)市場にも影響します。特に金は利息を生まない資産であるため、金利が低下すると、金の投資魅力が増加し、価格が上昇することがあります。また、原油価格もドル建てで取引されるため、ドル安が進むと原油価格が上昇する傾向があります。
まとめ
FRBの利下げは、米国経済だけでなく、国際経済、ユーロダラー市場、そしてドルペッグ制を採用する国々にも広範な影響を与えます。住宅ローンや自動車ローン、企業の借り入れ、株式市場、債券市場など、さまざまな業界や金融商品に影響を及ぼすため、世界中の投資家、企業、そして一般消費者にとって非常に重要なニュースとなります。特に、新興国の経済やドルペッグ制の国々の金融政策にも大きな波及効果をもたらし、グローバルな経済情勢を大きく変動させる要因となります。
📜FRBの9月会合Statement
9月会合のStatementを見てみます。以下は前回6月会合からの変更を表しています。

経済活動が堅調に拡大している一方で、雇用の増加が鈍化し、失業率がわずかに上昇したものの依然として低い水準にあります。インフレは2%の目標に向けて進展しているが、依然としてやや高い水準にあります。
委員会は、長期的には最大雇用と2%のインフレ率を目指しています。インフレが持続的に2%に向かっているという自信を深め、目標達成のリスクが均衡していると判断しています。インフレの進展とリスクの均衡を考慮し、委員会はフェデラルファンド金利の目標レンジを0.5%ポイント引き下げて4.75%から5%にすることを決定しました。委員会はデータを慎重に評価し、必要に応じて政策を調整し、財務省証券や住宅ローン担保証券の保有を減らし続けます。
委員会は最大雇用の支援と2%のインフレ目標の達成に強くコミットしています。経済見通しに対する新たな情報の影響を監視し、目標達成を妨げるリスクが生じた場合には、適切に政策スタンスを調整する準備があります。委員会の評価には、労働市場の状況、インフレ圧力とインフレ期待、金融および国際的な動向など、幅広い情報が考慮されます。
ここで注目すべきは評価項目でも最初にもってきている「労働市場の状況」です。なぜなら、日銀と違い、FRBは物価の安定だけでなく雇用の最大化というデュアルマンデート(Dual Mandate)を負っているからです。
一方、日銀の主な目的は「物価の安定」であり、主にインフレ率を2%に維持することを目指しています。FRBは、雇用状況の改善も重視するため、経済全体のバランスを取りながら金融政策を行います。これに対し、日銀は物価変動により注力しており、デフレ脱却を重視してきました。両者のアプローチの違いは、経済の状況や政策目的の違いに起因しています。
📊FRBの経済予測資料(2024年9月18日)
その雇用についての見通しが触れられているのが四半期ごとに公表される経済予測資料(Projection Materials)です。まずはドットチャートから見ていきます。
1. ドットチャート
ドットチャートはFOMC(連邦公開市場委員会)の各メンバーが予想する政策金利の水準を、それぞれひとつの点(ドット)としてプロットしたことから、この名前が付けられました。
ドットチャートによって、FOMCメンバーが今後数年間の政策金利がどの水準になると予想しているのかや、メンバー間の意見のばらつき、政策金利に関するコンセンサスがどの程度あるのか等が分かります。


ここで注目すべきは、Longer runの長期見通しが6月会合より上昇していることです。これを受けてか会合後に長期債金利が跳ね上がりました。

2. GDP成長率
お次はReal GDP(実質GDP)成長率です。
2024年の実質GDP成長率は2.0%と予測されており、これは前回の予測とほぼ同じ水準です。2025年から2027年:には成長率は2.0%で安定し、長期的には1.8%に収束すると見込まれています。

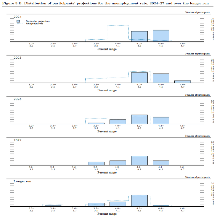
3.失業率
そして注目の失業率ですが前回会合よりも悪い見通しが出ています。
2024年の失業率は4.4%、2025年から2027年にかけて失業率は徐々に低下し、2027年には4.2%になると予測されています。長期的な失業率は4.0%から4.3%の範囲で安定すると見込まれています。

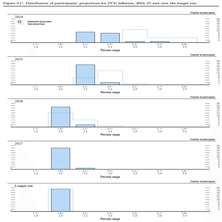
4. PCEインフレ率
PCE(個人消費支出)のインフレ率見通しは前回会合よりも下がっていて、2024年は2.3%、2025年から2027年にかけて目標の2.0%前後で推移するという予測になっています。
目標の2%で推移するという(大統領選のインフレ政策の割には)のんきな予想がされているのが特徴的です。

😇なぜ失業率がクリティカルなのか
1. アメリカ経済を牽引する個人消費
アメリカ経済は消費を中心に成り立っており、消費者が何かを消費するためには、まず生産を行い、収入を得ることが必要です。
個人消費がアメリカのGDPに占める割合は7割弱に達し、これは日本(5割強)や中国(4割弱)に比べても高い影響力を持っていることがわかります。

2. フルタイム雇用と労働市場の鈍化
8月の雇用統計では、特に製造業、小売業、サービス業での雇用増加が大幅に減少しました。近年の移民の増加に伴い、フルタイム雇用者の割合が急激に低下しています。フルタイム雇用が減少すると、余剰な消費を支えるための資源が不足し、経済成長を維持することが難しくなります。
さらに、フルタイム雇用の減少は自動化やテクノロジーの進化、オフショアリング(海外への業務委託)の影響を受けており、特に2023年末以降はその傾向が顕著になっています。というか私の周りでも会社都合でフルタイムが切られまくっていて、いつ自分の番が来るかのと ((((;゚Д゚))))ガクガクブルブル しています。
フルタイム雇用が減少し、パートタイムの仕事が増えている状況が示され、これは経済が弱まっていることを示唆しています。フルタイム雇用は経済成長に不可欠であり、その減少はリセッションの前兆となり得ます。

フルタイム雇用は家計が経済的に持続可能なペースで消費するために必要で、高賃金や福利厚生、医療保険を提供します。一方、パートタイムの仕事はこれらのメリットを提供しません。
3. サームルール点灯が示すもの
歴史的に、フルタイム雇用が減少するとリセッション(景気後退)が続く傾向があり、すでに「サーム・ルール」が点灯しており、ルール上ではリセッションの初期に入っています。
サームルール(Sahm Rule)は、アメリカの経済学者クラウディア・サーム(Claudia Sahm)によって提案された経済指標で、リセッション(景気後退)の初期を検出するために用いられます。このルールは、景気後退の早期警告システムとして利用され、失業率の急激な上昇がリセッションの開始を示すという考えに基づいています。
具体的には、サームルールでは「失業率が過去12ヶ月の平均失業率から0.5%以上上昇した場合」という条件が満たされたときにリセッションの可能性が高いと判断されます。

マルケナレバンガ FRB!
ちなみにFOMCのメンバーも経済のプロなわけで、サームルールの存在も、それが点灯していることも重々承知のはずです。そのうえでの50bpsの大幅利下げだったのだと思います。
今回の利下げを受けて、サームルールの生みの親であるクラウディア・サームが、これまで後手後手に回っていたFRBの予防的な50bps利下げを評価していました。一方で、これからの景気や12月以降の会合がどうなるかにもよるので楽観視できないとのこと。

ただ個人的には、問題なのは失業率全体の数字よりも、幕末の京都の如く人斬りが起こっているFull-time Employeeの減少内訳にこそあると思っています。
今後の金融政策による舵取りがどの程度成功するか、それとも歴史と同じようにリセッションに突入するのか、はたまた2008年11月からのツケがデプレッションを引き起こしてしまうのか、今後の展開を注視していきたいと思います。
0 件のコメント :
コメントを投稿